Başkan Akat’tan bütçeye ilişkin açıklama
Bağlar Belediye Başkanı Akat taptığı yazılı açıklamada bu yılın bütçe görüşmelerinde mecliste bulunan DBP ve AK Parti ortak aldıkları kararla bu yılki bütçemizi bilinçli bir şekilde düşürdüler. Belediye bütçesi geçtiğimiz yıl bütçe görüşmelerinde 2017 yılı için 161 milyon olarak belirlendiğini kaydeden Akat, bu yılki bütçe görüşmelerinde ise bu rakamın 125 milyona düşürüldüğünü vurguladı.

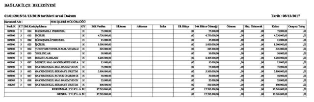
Akat, “ Bu düşürülen bütçenin büyük bir kısmı Fen İşleri Müdürlüğünün bütçesinden düşürüldü. Fen İşleri Müdürlüğü belediyemizin halka yönelik yapılan çalışmaların başında gelir. Çünkü tüm yapım işleri bu müdürlüğümüz tarafından hayata geçiriliyor. Fen İşleri Müdürlüğünün 2017 yılı bütçesi toplamda 41 milyon 625 bin iken önümüzdeki yıl için bu rakam 17 milyon 765 bine düşürüldü. Bu yıl toplam bütçenin 30 milyonu yapım işlerine ayrılmıştı. Önümüzdeki yıl için DBP ve AK Partinin bütçe görüşmelerinde ortak kararıyla bu rakam 5 milyon olarak belirlendi. Bütçe görüşmeleri sonucunda mecliste her iki grubu da şunu söyledim ‘400 bin nüfuslu ilçenin yapım işlerine 5 milyon neyine yeter. Bağcılar Mahallesi başlı başına bir ilçe kadar’ buna rağmen her iki parti aldıkları karardan geri adım atmadılar. Her iki partinin aldığı bu kararla halka yapacağım hizmetleri engellemeye yönelik olduğu çok bariz bir şekilde ortadır. Bütçe görüşmelerinde alınan kararları belgeleri şeffaf bir yönetim esas aldığım için halkımızın bilgisine sunuyorum” dedi.






Türkçe karakter kullanılmayan ve büyük harflerle yazılmış yorumlar onaylanmamaktadır.