Ticaret Bakanlığı 930 Personel Alacak...Kpss Puan 60 Tüm Detaylar!
Ticaret Bakanlığı Sözleşmeli Gümrük Muhafaza Memuru, Muayene Memuru, Koruma Ve Güvenlik Görevlisi Ve Destek Personeli olmak üzere 930 Personel Alacak...Kpss Puan 60 Tüm Detaylar!
Koruma Ve Güvenlik Görevlisi Ve Destek Personeli Alımı
GENEL BİLGİLER
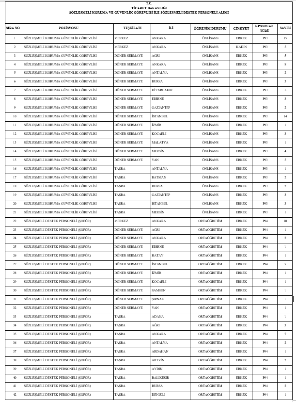
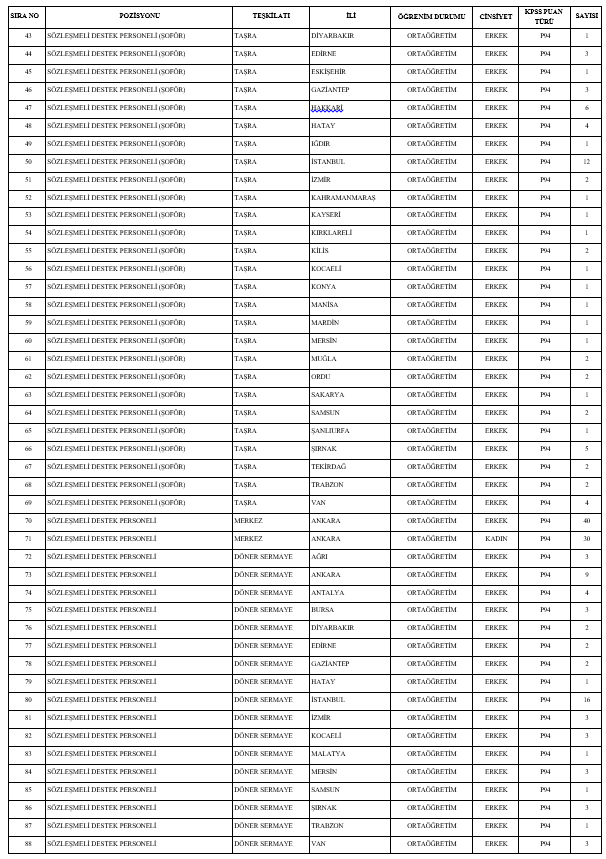
657 sayılı Devlet Memurları Kanunu’nun 4’üncü maddesinin (B) fıkrası kapsamında Bakanlığımız Merkez, Taşra ve Döner Sermaye Teşkilatı birimlerinde istihdam edilmek üzere, Sözleşmeli Personel Çalıştırılmasına İlişkin Esasların Ek 2’nci maddesi uyarınca yazılı ve/veya sözlü sınav yapılmaksızın 2022 KPSS (B) grubu puan sıralaması esas alınmak suretiyle Ek-1’de bilgileri yer alan 88 Sözleşmeli Koruma ve Güvenlik Görevlisi ile 240 Sözleşmeli Destek Personeli olmak üzere toplam 328 (üç yüz yirmi sekiz) sözleşmeli personel alımı yapılacaktır.

BAŞVURU ŞARTLARI
GENEL ŞARTLAR
657 sayılı Devlet Memurları Kanunu’nun 48’inci maddesinin birinci fıkrasının (A) bendinin 1, 4, 5, 6 ve 7’nci alt bentlerinde belirtilen şartları taşımak,
- Herhangi bir kamu kurumunda çalışmakta iken görevden veya meslekten ihraç edilmemiş olmak,
- Herhangi bir kamu kurum ve kuruluşunda 4/B sözleşmeli personel pozisyonunda çalışmıyor olmak,
ç) Sözleşmeli Personel Çalıştırılmasına İlişkin Esasların Ek-1’inci maddesinde istisna edilenler hariç olmak üzere, sözleşmenin feshi sebebiyle görevinden ayrılanların sözleşme fesih tarihinin üzerinden 1 yıl geçmiş olmak,
Görevini devamlı yapmaya engel sağlık sorunu, tam zamanlı ve vardiyalı çalışmaya engel durumu bulunmamak,
- Tercih edilecek pozisyona göre Güvenlik Soruşturması veya Arşiv Araştırması olumlu sonuçlanmak,
- Tercih edilecek pozisyon için özel şartlar başlığı altında aranan nitelikleri taşıyor olmak
ÖZEL ŞARTLAR
SÖZLEŞMELİ KORUMA VE GÜVENLİK GÖREVLİSİ
- ÖSYM tarafından 2022 yılında gerçekleştirilen Kamu Personeli Seçme Sınavında, KPSS P93 puan türünden en az 60 (altmış) ve üzeri puan almak,
- Yerleştirmenin yapıldığı yılın Ocak ayının birinci günü itibarıyla 30 (otuz) yaşını doldurmamış olmak (01.01.1994 ve daha sonra doğanlar başvurabilecektir.),
- Üniversitelerin ön lisans düzeyinde eğitim veren Özel Güvenlik ve Koruma Ön lisans programından mezun olmak,
ç) 5188 sayılı Özel Güvenlik Hizmetlerine Dair Kanunun 14’üncü maddesinde belirtilen özel güvenlik temel eğitimini başarı ile tamamlamış olmak,
- Son başvuru tarihi itibarıyla geçerlilik süresi dolmamış silahlı özel güvenlik görevlisi kimlik kartına sahip olmak.
- Gece ve gündüz, iç ve dış mekânda 24 saat esasına göre vardiyalı sistemde çalışmaya engel durumu olmamak.
- Boy ölçümü erkek adaylar için 170 cm, kadın adaylar için 162 cm’den kısa olmamak.
SÖZLEŞMELİ DESTEK PERSONELİ (ŞOFÖR)
- Ortaöğretim (Lise ve dengi) kurumlarının herhangi bir alanından mezun olmak,
- Yerleştirmenin yapıldığı yılın Ocak ayının birinci günü itibarıyla otuz beş yaşını doldurmamış olmak, (01.01.1989 ve daha sonra doğanlar başvurabilecektir.)
- ÖSYM tarafından 2022 yılında gerçekleştirilen Kamu Personeli Seçme Sınavında, KPSS P94 puan türünden en az 60 (altmış) ve üzeri puan almak,
ç) Son başvuru tarihi itibarıyla en az B sınıfı (B, BE, C1, C1E, C, CE, D1, D1E, D, DE) sürücü belgesine sahip olmak,
- İhtiyaç halinde vardiyalı çalışma düzenine, mesai saatleri dışında çalışmaya ve şehirlerarası seyahat etmeye engel durumu olmamak.
SÖZLEŞMELİ DESTEK PERSONELİ
- Ortaöğretim (Lise ve dengi) kurumlarının herhangi bir alanından mezun olmak,
- Yerleştirmenin yapıldığı yılın Ocak ayının birinci günü itibarıyla otuz yaşını doldurmamış olmak, (01.01.1994 ve daha sonra doğanlar başvurabilecektir.)
- ÖSYM tarafından 2022 yılında yapılan Kamu Personeli Seçme Sınavında, KPSS P94 puan türünden en az 60 (altmış) ve üzeri puan almak,
ç) İhtiyaç halinde vardiyalı çalışma düzenine ve mesai saatleri dışında çalışmaya engel durumu olmamak.
Not: Merkez Teşkilatında istihdam edilecek olanlar; temizlik ve basit bakım-onarım gibi hizmetlerin yerine getirilmesinde, Döner Sermaye Teşkilatında istihdam edilecek olanlar ise temizlik, basit bakım-onarım, yükleme, boşaltma ve elleçleme gibi hizmetlerin yerine getirilmesinde çalıştırılacaktır.
BAŞVURU BİLGİLERİ
- Adaylar, 01 Şubat 2024 (saat:10.00) – 12 Şubat 2024 (saat:17.00) tarihleri arasında, Cumhurbaşkanlığı İnsan Kaynakları Ofisi Kariyer Kapısı (https://isealimkariyerkapisi.cbiko.gov.tr) üzerinden, e-Devlet şifreleri ile giriş yaparak başvuruda bulunabilecek olup, şahsen veya posta yoluyla yapılan başvurular kabul edilmeyecektir.
- Adaylar, sadece bir sözleşmeli pozisyon için başvuruda bulunabilecektir.
- Adaylar, başvurdukları pozisyonlarla ilgili en çok 10 il tercihinde bulunabilecektir.
- Koruma ve Güvenlik Görevlisi pozisyonuna başvuracak adayların, son başvuru tarihi itibarıyla geçerlilik süresi dolmamış “silahlı” ibareli özel güvenlik kimlik kartının ön ve arka yüzünü, pdf veya jpeg formatında sisteme yüklemeleri gerekmektedir.
- Koruma ve Güvenlik Görevlisi pozisyonuna başvuracak adaylardan yurt dışındaki öğretim kurumlarından mezun olup bu ilanda aranılan öğrenim durumuna ilişkin denkliği olanların diploma veya mezuniyet belgesi yerine YÖK’ten alınmış denklik gösterir belgelerini, pdf ya da jpeg formatında “Denklik Gösterir Belge” alanına yüklemeleri gerekmektedir.
- Başvuru işleminin hatasız, eksiksiz ve bu ilanda belirtilen hususlara uygun olarak yapılmasından, istenilen belgelerin başvuru aşamasında sisteme yüklenmesinden, başvuruda bulunan adaylar sorumludur. Bu hususlara riayet etmeyen adaylar herhangi bir hak talebinde bulunamayacaktır.
- Aranan şartlardan herhangi birini taşımadığı tespit edilen adayların, başvurusu değerlendirmeye alınmayacaktır.
BAŞVURULARIN DEĞERLENDİRİLMESİ VE YERLEŞTİRME İŞLEMLERİ
- 657 sayılı Devlet Memurları Kanunu’nun 4’üncü maddesinin (B) fıkrası ve Sözleşmeli Personel Çalıştırılmasına İlişkin Esaslar çerçevesinde, yazılı ve/veya sözlü sınav yapılmaksızın, genel ve özel şartları taşıyan adaylar arasından KPSS puan üstünlüğü esas alınmak suretiyle her il ve pozisyon için en yüksek puan alan adaydan başlamak üzere pozisyon sayısı kadar asıl ve 2 (iki) katı kadar yedek aday belirlenecektir.
- Sıralamaya esas olan KPSS puanlarının aynı olması halinde; adaylardan mezuniyet notu yüksek olan, mezuniyet notunun da aynı olması halinde; mezuniyet tarihi eski olan, mezuniyet tarihinin de aynı olması halinde ise yaşı büyük olandan başlanarak sıralama yapılacaktır.
- Yerleştirme sonuçlarının ilan edildiği tarihten itibaren altı aylık süreyi aşmamak üzere, belirlenen asıl adaylar arasından; feragat eden, süresi içerisinde başvurmayan veya aranılan şartları taşımadığı sonradan tespit edilenlerin yerine yedek adaylardan sırasıyla yerleştirme yapılacaktır.
- KPSS’de yüksek puan almak, ilanda yer alan sözleşmeli pozisyona yerleştirmede tek başına hak teşkil etmeyecek olup ilgili pozisyon için belirtilen genel ve özel şartlara sahip olmayan adaylar değerlendirmeye alınmayacaktır.
DİĞER HUSUSLAR
- “Sözleşmeli Personel Çalıştırılmasına İlişkin Esasların” Yeniden Hizmete Alınma başlıklı Ek-1 inci maddesinin (b) fıkrasında yer alan “(…) Sözleşmeli personelin, hizmet sözleşmesi esaslarına aykırı hareket etmesi nedeniyle kurumlarınca sözleşmesinin feshedilmesi veya sözleşme dönemi içinde sözleşmeyi tek taraflı feshetmesi halinde, fesih tarihinden itibaren bir yıl geçmedikçe kamu kurum ve kuruluşlarının sözleşmeli personel pozisyonlarında yeniden istihdam edilemez.” hükmüne aykırı durumu olduğu tespit edilen adaylar, atamaya hak kazanmış veya atamaları yapılmış olsa dahi atamaları iptal edilecektir.
- Başvuru ve işlemler sırasında gerçeğe aykırı beyanda bulunduğu veya gerçeğe aykırı belge verdiği tespit edilenlerin başvuruları, yerleştirme sürecinin her aşamasında Bakanlığımızca geçersiz sayılacak olup; atamaları yapılmış olsa dahi iptal edilecektir. Ayrıca, gerçeğe aykırı beyanda bulunduğu veya gerçeğe aykırı belge verdiği tespit edilenler hakkında gerekli yasal işlemler yapılacaktır.
- Başvurular sonucunda belirlenen asıl ve yedek aday listesi, “www.ticaret.gov.tr” web adresinden ilan edilecek olup; kişilere yazılı tebligat yapılmayacaktır. Ayrıca adaylar, sonuç bilgilerini Kariyer Kapısı Platformu “https://isealimkariyerkapisi.cbiko.gov.tr” adresi üzerinden görüntüleyebilecektir.
Başvuru pozisyonlarının il dağılımlarını gösterir liste


Gümrük Muhafaza Memuru Ve Muayene Memuru Alımı
GENEL BİLGİLER
657 sayılı Devlet Memurları Kanunu’nun 4’üncü maddesinin (B) fıkrası ile 06.06.1978 tarihli ve 7/15754 sayılı Bakanlar Kurulu Kararıyla belirlenen “Sözleşmeli Personel Çalıştırılmasına İlişkin Esaslara” göre çalıştırılmak üzere, KPSS puan üstünlüğüne göre belirlenecek adaylar arasından sözlü sınav yapılmak suretiyle açıktan atama yoluyla aşağıdaki tabloda belirtilen pozisyon sayısı kadar, Sözleşmeli Gümrük Muhafaza Memuru ve Sözleşmeli Muayene Memuru alımı yapılacaktır.
Başvuru pozisyon ve sayıları:

BAŞVURU ŞARTLARI
GENEL ŞARTLAR
657 sayılı Devlet Memurları Kanunu’nun 48’inci maddesinin birinci fıkrasının (A) bendinin 1, 4, 5, 6 ve 7’nci alt bentlerinde belirtilen şartları taşımak,
- En az dört yıllık eğitim veren fakülte ve yüksekokulların; çalışma ekonomisi ve endüstri ilişkileri, ekonometri, ekonomi, finans ve bankacılık, gümrük işletme, iktisat, istatistik, işletme, kamu yönetimi, maliye, muhasebe ve finans yönetimi, siyaset bilimi ve kamu yönetimi, siyaset bilimi ve uluslararası ilişkiler, uluslararası ilişkiler, uluslararası ticaret ve finans, uluslararası ticaret ve işletmecilik ile uluslararası ticaret ve lojistik ya da bunlara denkliği/eş değerliği Yükseköğretim Kurulu tarafından onaylanmış bölümlerinden mezun olmak,
- ÖSYM tarafından 2022 yılında yapılan Kamu Personeli Seçme Sınavında, KPSS P3 puan türünden 70 (yetmiş) ve üzeri puan almak,
ç) Sözleşmeli Personel Çalıştırılmasına İlişkin Esasların Ek-1’inci maddesinde istisna edilenler hariç olmak üzere, sözleşmenin feshi sebebiyle görevinden ayrılanların sözleşme fesih tarihinin üzerinden 1 yıl geçmiş olmak,
Herhangi bir kamu kurum ve kuruluşunda 4/B sözleşmeli personel pozisyonunda çalışmıyor olmak,
- Güvenlik Soruşturması olumlu sonuçlanmak.
ÖZEL ŞARTLAR
SÖZLEŞMELİ GÜMRÜK MUHAFAZA MEMURU
Giriş sınavının yapıldığı yılın ocak ayının birinci günü itibarıyla otuz yaşını doldurmamış olmak (01.01.1994 ve daha sonra doğanlar başvurabilecektir.),
- Erkeklerde en az 172 cm, kadınlarda ise en az 165 cm boyunda olmak,
- Sağlık Bakanlığına bağlı tam teşekküllü Devlet hastanelerinden, görevini devamlı yapmasına engel olabilecek akıl hastalığı veya bedensel özürlü olmadığını, psikiyatrik bir hastalığı, kişilik bozukluğu, nörolojik rahatsızlığı, şaşılığı, körlüğü, gece körlüğü, renk körlüğü, işitme kaybı, topallık, kekemelik, kas veya iskelet sisteminde hareket kısıtlılığı ve benzeri engeller bulunmadığını belirten ve “Yurdun her yerinde görev yapabilir ve silah kullanabilir” ibareli sağlık kurulu raporu almak (Söz konusu rapor atanmaya hak kazanan adaylardan evrak teslim sürecinde istenilecek olup, başvuru aşamasında istenilmeyecektir.).
SÖZLEŞMELİ MUAYENE MEMURU
a) Giriş sınavının yapıldığı yılın ocak ayının birinci günü itibarıyla otuz beş yaşını doldurmamış olmak (01.01.1989 ve daha sonra doğanlar başvurabilecektir.).
BAŞVURU BİLGİLERİ
Adaylar, 22 Ocak 2024 (saat:10.00) – 31 Ocak 2024 (saat:17.00) tarihleri arasında Cumhurbaşkanlığı İnsan Kaynakları Ofisi Kariyer Kapısı (https://isealimkariyerkapisi.cbiko.gov.tr) üzerinden e-Devlet şifreleri ile giriş yaparak başvuruda bulunabilecek olup şahsen veya posta yoluyla yapılan başvurular kabul edilmeyecektir.
- Adaylar sadece bir pozisyon için başvuruda bulunabilecektir.
- Adayların, genel şartlarda sayılan bölümlere denk/eş değer kabul edilen bölümlerden mezun olmaları halinde YÖK tarafından onaylanmış denklik/eş değerlik belgelerini pdf veya jpeg formatında sisteme yüklemeleri gerekmektedir.
SÖZLÜ SINAVIN ŞEKLİ VE DEĞERLENDİRİLMESİ
- Başvuru sonuçları www.ticaret.gov.tr internet adresinin Duyurular bölümünde ilan edilecektir.
- Sözlü sınav Ankara’da yapılacak olup tarihi ve saati www.ticaret.gov.tr internet adresinin Duyurular bölümünde ilan edilecektir.
- KPSS başarı sırasına göre atama yapılacak pozisyon sayısının Sözleşmeli Gümrük Muhafaza Memuru için 2 katı, Sözleşmeli Muayene Memuru için ise 3 katı kadar aday sözlü sınava çağırılacaktır. Son sıradaki adayla aynı puana sahip olan birden fazla aday bulunması halinde bu adayların tamamı sözlü sınava çağrılacaktır.
- Sözlü sınava girmeye hak kazanan adaylar; “kavrama, muhakeme ve ifade yeteneği; liyakati, temsil kabiliyeti, davranış ve tepkilerinin mesleğe uygunluğu; özgüveni, ikna kabiliyeti ve inandırıcılığı; mezun olduğu öğrenim dalına ilişkin bilgi düzeyi, genel yeteneği ve genel kültürü; bilimsel ve teknolojik gelişmelere açıklığı” yönlerinden puan verilmek suretiyle 100 (yüz) tam puan üzerinden değerlendirilecektir.
- Sözlü sınavda en az 70 (yetmiş) puan alanlar başarılı sayılacak ve adayların başarı puanı, KPSS puanı ile sözlü puanının aritmetik ortalaması alınarak hesaplanacaktır.
- Başarı puanı en yüksek adaydan başlamak suretiyle, atama yapılacak olan pozisyon sayısını geçmeyecek kadar asıl aday belirlenecektir. Ayrıca, giriş sınavı ilanında belirtilen pozisyon sayısının en fazla yarısı kadar yedek aday belirlenebilir.
- Sözlü sınav sonucunda başarı puanlarının aynı olması halinde; adaylardan mezuniyet notu yüksek olan, mezuniyet notunun da aynı olması halinde; mezuniyet tarihi eski olan, mezuniyet tarihinin de aynı olması halinde ise yaşı büyük olandan başlanarak sıralama yapılacaktır.
- Sözlü sınav sonuçları www.ticaret.gov.tr internet adresi üzerinden Duyurular bölümünde ilan edilecektir.
- Sözlü sınav sonuçlarının ilan edildiği tarihten itibaren altı aylık süreyi aşmamak üzere, belirlenen asıl adaylar arasından; feragat eden, süresi içerisinde başvurmayan veya aranılan şartları taşımadığı sonradan tespit edilenlerin yerine yedek adaylar arasından, başarı puanı en yüksek olandan başlamak üzere, sırasıyla atama yapılabilir.
- Sözlü sınavda 70 (yetmiş) ve üzeri puan almış olmak, asıl ve yedek sıralamasına giremeyen adaylar bakımından kazanılmış hak teşkil etmez.
- Adaylar alım sürecine ilişkin tüm bilgileri, Cumhurbaşkanlığı İnsan Kaynakları Ofisi Kariyer Kapısı (https://isealimkariyerkapisi.cbiko.gov.tr) adresi üzerinden görüntüleyebilecektir.
DİĞER HUSUSLAR
Sözlü sınavda başarılı olup atanmaya hak kazanan adayların görev yerleri, sözleşmeli pozisyonların tahsis edildiği iller arasından elektronik kura çekilmesi yöntemi ile belirlenecektir.
- Sözleşmeli Personel Çalıştırılmasına İlişkin Esasların, “Yeniden Hizmete Alınma” başlıklı Ek-1 inci maddesinin (b) fıkrasında yer alan: “(…) Sözleşmeli personelin, hizmet sözleşmesi esaslarına aykırı hareket etmesi nedeniyle kurumlarınca sözleşmesinin feshedilmesi veya sözleşme dönemi içinde sözleşmeyi tek taraflı feshetmesi halinde, fesih tarihinden itibaren bir yıl geçmedikçe kamu kurum ve kuruluşlarının sözleşmeli personel pozisyonlarında yeniden istihdam edilemez.” hükmüne aykırı davrandığı tespit edilen adayların atamaları yapılmayacak, atamaları yapılmış olsa dahi iptal edilecektir.
- Sözlü sınavı kazanan adaylardan başvuru ve işlemler sırasında gerçeğe aykırı beyanda bulunduğu veya gerçeğe aykırı belge verdiği tespit edilenlerin sınavı geçersiz sayılacak olup atamaları yapılmış olsa dahi iptal edilecek, bu kişiler bundan sonra açılacak olan sınavlara katılamayacak ve haklarında Cumhuriyet Savcılığına suç duyurusunda bulunulacaktır. Bu şekilde Bakanlığı yanıltanlar kamu görevlisi ise ayrıca durumları çalıştıkları kurumlarına da bildirilecektir.
- Bakanlığımız internet sitesinde duyurulan hususlar tebliğ mahiyetinde olacağından, ilgililere ayrıca yazılı tebligat yapılmayacaktır.
Kaynak:Haber Merkezi





Türkçe karakter kullanılmayan ve büyük harflerle yazılmış yorumlar onaylanmamaktadır.